Skip to content Skip to sidebar Skip to footer

How To Find Demand Equation - The graph for the following situation is shown below.

How To Find Demand Equation - The graph for the following situation is shown below.. If the price were lowered to p=$10, one could expect to sell x=52 of sneakers per week. Write an equation using two points in the form (x,p)). Equilibrium in the market happens at the quantity and price where exact is equal to the supply. The slope of a demand curve can be found just like the slope of any other line. The five components of aggregate demand are consumer spending, business spending, government spending, and exports minus imports.

When given an equation for a demand curve, the easiest way to plot it is to focus on the points that intersect the price and quantity axes. The demand equation relates the quantity of the good demanded by consumers to the price of the good. First we graph demand, then we graph supply, and finally we fin. Therefore, demand and supply equations can be formulated as follows. A company's revenue is the amount of money that comes in from sales, before business costs are subtracted.

Calculate The Equilibrium Price And Quantity From Math Equations
Calculate The Equilibrium Price And Quantity From Math Equations from econ101help.com
The law of demand says people will buy more when prices fall. Mathematically, this looks like p 2 − p 1 q2 − q1. A company's revenue is the amount of money that comes in from sales, before business costs are subtracted. We're here to support your family! Qd = 400 + 5p B is the slope of two curves. This is an update to the 2012 version of the lesson introducing how to determine an equation for demand using price and quantity data from a demand schedule. A linear demand curve can be plotted using the following equation.

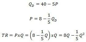
To compute the inverse demand equation, simply solve for p from the demand equation.

Ixl is easy online learning designed for busy parents. This is an update to the 2012 version of the lesson introducing how to determine an equation for demand using price and quantity data from a demand schedule. A demand equation or a exact function expresses demand q (the number of items demanded) as a function of the unit price p (the price per item). You use the demand formula, qd = x + yp, to find the demand line algebraically or on a graph. In other words, it is the demand and supply quantities at price zero. So supply equals minus 10 multiplied by two multiplied by the price. Price = constant + slope*quantity. Demand equations are in the form: Equilibrium in the market happens at the quantity and price where exact is equal to the supply. The most basic form of a linear function is y = mx + b. Here is the algebraic equation for market demand. Deriving demand and supply equations from a set of data. The demand curve measures the quantity demanded at each price.

That is, quantity demanded is a function of price. Therefore, demand and supply equations can be formulated as follows. Find the equation of the line for the demand equation. The demand equation relates the quantity of the good demanded by consumers to the price of the good. To compute the inverse demand equation, simply solve for p from the demand equation.

How To Determine Supply And Demand Equilibrium Equations Economics Help
How To Determine Supply And Demand Equilibrium Equations Economics Help from www.economicshelp.org
Equilibrium in the market happens at the quantity and price where exact is equal to the supply. This can be calculated by δq / δp. A demand equation or a exact function expresses demand q (the number of items demanded) as a function of the unit price p (the price per item). The five components of aggregate demand are consumer spending, business spending, government spending, and exports minus imports. This is a supplemental video that shows my students how to graph supply and demand equations. To compute the inverse demand equation, simply solve for p from the demand equation. After doing some market research, a manufacturer notices the following pattern for selling an item. A company's revenue is the amount of money that comes in from sales, before business costs are subtracted.

If the price were lowered to p=$10, one could expect to sell x=52 of sneakers per week.

The demand curve shows the amount of goods consumers are willing to buy at each market price. However, in the case of the supply and demand diagram it's important to note that the x and y axis are flipped. B is the slope of two curves. One method of creating a demand function to use multiple regression analysis to find out the relationship between quantity demanded, the product price and all other factors. The five components of aggregate demand are consumer spending, business spending, government spending, and exports minus imports. Remember, in order to find a slope, you must divide rise by run. In other words, it is the demand and supply quantities at price zero. To determine the market demand curve of a given good, you have to sum all the individual demand curves for the good in the market. Therefore, demand and supply equations can be formulated as follows. Write your answer in the form p = mx + b. Assume that at a price of $5.00 per hat, the supplier can supply 400 hats. A is the intercept of the demand and supply curves. Find the equation of the line for the demand equation.

Price = constant + slope*quantity. Find the equation of the line for the demand equation. Will an increase in price lead to an increase in revenue? One method of creating a demand function to use multiple regression analysis to find out the relationship between quantity demanded, the product price and all other factors. A demand equation or a exact function expresses demand q (the number of items demanded) as a function of the unit price p (the price per item).

Answered The Demand Equation For A Product Is P Bartleby
Answered The Demand Equation For A Product Is P Bartleby from prod-qna-question-images.s3.amazonaws.com
Find the revenue and profit functions and evaluate them at the extra given value. A demand equation or a exact function expresses demand q (the number of items demanded) as a function of the unit price p (the price per item). A linear demand curve can be plotted using the following equation. When given an equation for a demand curve, the easiest way to plot it is to focus on the points that intersect the price and quantity axes. If we do this with the values from our example above (1, 250), we get the following equation: As you can see, this equation still holds. So, if we're given an equation for quantity demanded: The most basic form of a linear function is y = mx + b.

Q s = 10 + 2p

Will an increase in price lead to an increase in revenue? This is a supplemental video that shows my students how to graph supply and demand equations. Find the revenue and profit functions and evaluate them at the extra given value. Assume that at a price of $5.00 per hat, the supplier can supply 400 hats. The first part of figuring out demand is to find the marginal utility each good provides and the rate of substitution between the two goods—that is, how many units of x the consumer is willing to. In the case of a demand curve, this means dividing change in price by change in quantity demanded. Find the equation of the line for the demand equation. Essentially, you map all of the individual demand inputs onto a line graph to create the market demand curve. Find the elasticity of demand when the price is $70 apiece. The inverse demand equation, or price equation, treats price as a function g of quantity demanded: Q s = 10 + 2p A demand equation or a exact function expresses demand q (the number of items demanded) as a function of the unit price p (the price per item). So it is a function, like y = f(x), with x now being price, and y being quantity.